آخرین محصولات ویژه

زمانبندی و کنترل پروژه فاز روشنایی پروژه پل طبقاتی صدر به روش دکتر گلشنی (EPC)

دسته بندي : عمران و معماری

مدیریت مؤثر پروژه  یک اصل کلیدی  در هر پروژه  مهندسی است. زمان بندی پروژه یکی از ابزار بسیار مهم است که در برنامه ریزی و پی گیری فعالیت های پروژه  در طی  یک بازه زمانی مشخص استفاده می شود. روش های  تعیین مسیر بحرانی سبب می شوند تا اعضای تیم پروژه بتوانند فعالیت هایی را که در مسیر بحرانی قرار دارند و نمی توان آنها  را به تأخیر انداخت، مگر اینکه  کل پروژه با  تأخیر روبرو  شود، شناسایی کنند.

فعالیت هایی که در مسیر بحرانی قرار  نگرفته اند را می توان در گروه فعالیت های شناور قرار داد.

نوع برنامه‌ی زمان‌بندی که توسط پیمانکار استفاده می‌شود، ممکن است در اسناد پیمان مشخص شده باشد و یا توسط خود پیمانکار انتخاب شود. نوع و شکل برنامه زمان‌بندی باید همچون یک ابزار ارتباطی خوب عمل کند و امکان مدیریت صحیح منابع را نیز فراهم آورد. بنابراین روشن بودن و درک برنامه‌ی زمان‌بندی توسط طرفین پیمان امری بحرانی محسوب می‌شود.

 

نوع فایل: MSP-PDF-EXCEL
تاریخ:شمسی
گانت‌چارت
مدت:۳۵۴
تعدادفعالیت:۲۱۲
زمانبندی - نمودار گانت–کنترل پروژه
زبان: فارسی
محدوده زمانی:۹۱-۹۲

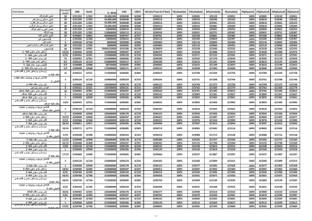
  1. زمانبندی تفصیلی
  2. کنترل پروژه
  3. نمودارهای CP, DP, P
  4. محاسبات
    1. Di
    2. DWi
    3. Dwi%
    4. (Ci (Rial
    5. CWi
    6. CWi%
    7. (Wi=(0.6*Cwi+0.4*Dwi
    8. (Pi(schedule
    9. (CP(schedule
    10. (DP(schedule
    11. (P(schedule
    12. (Pi(physical
    13. (CP(physical
    14. (DP(physical
    15. (P(physical
    16. Pi (هزینه واقعی)
    17.  Cj(درصد پیشرفت واقعی کار)
    18. Pj (هزینه پیشبین یشده)
    19. Cj (درصد پیشرفت برنامه ای کار)
    20. Dwi
    21. Cwi
    22. Wi
    23. PV
    24. AC
    25. EV
    26. DP
    27. CP
    28. P
  5. ساختار شکست،برنامه زمانبندی به همراه :
    • نمودار گانت چارت
    • روابط پیشنیازی
    • شامل فعالیتهای اصلی:
      فاز روشنایی پروژه پل طبقاتی صدر
      فاز طراحی و مهندسی
      شرح خدمات مرحله اول مطالعات نور پردازی
      شرح خدمات مرحله اول مطالعات روشنایی
      شرح خدمات مرحله دوم روشنایی
      شرح خدمات مرحله دوم مطالعات نورپردازی
      فاز برگزاری مناقصه و نظارت بر خرید چراغها و پایه ها
      فاز تامین تجهیزات و اجرا
      انجام عملیات روشنایی کلیه زونها
      انجام عملیات روشنایی زونهای ۱ و ۲
      تامین اقلام
      نیرو رسانی
      اجرای سیستم روشنایی up
      اجرای سیستم روشناییDown
      اجرای سیستم روشنایی رمپها و دسترسیها
      انجام عملیات روشنایی زونهای ۳ و ۱۰و ۱۱
      تامین اقلام
      نیرورسانی
                 up اجرای سیستم روشنایی
                 Down اجرای سیستم روشنایی
      اجرای سیستم روشنایی رمپها و دسترسیها
      انجام عملیات روشنایی زونهای ۴ و ۹
      تامین اقلام
      نیرورسانی
                 up اجرای سیستم روشنایی
                 Down اجرای سیستم روشنایی
      اجرای سیستم روشنایی رمپها و دسترسیها
      انجام عملیات روشنایی زونهای ۵ و ۸
      تامین اقلام
      نیرورسانی
                 up اجرای سیستم روشنایی
                 Down اجرای سیستم روشنایی
      اجرای سیستم روشنایی رمپها و دسترسیها
      انجام عملیات روشنایی زونهای ۷ و ۶
      تامین اقلام
      نیرورسانی
                 up اجرای سیستم روشنایی
                 Down اجرای سیستم روشنایی
      اجرای سیستم روشنایی رمپها و دسترسیها

دسته بندی: عمران و معماری

تعداد مشاهده: 6585 مشاهده

کد فایل:4942

انتشار در:۱۴۰۲/۸/۱۰

حجم فایل ها:982.7 کیلوبایت

تعداد صفحات: 16

زبان: فارسی

فرمت: (PDF) غیر قابل ویرایش

فهرست: دارد

منابع و مآخذ: دارد

جدول و نمودار: دارد

عکس و تصویر: دارد

محتوای فایل: PDF، XLS، MSP


اشتراک گذاری:
 قیمت: 133,000 115,000 تومان
پس از پرداخت، لینک دانلود فایل برای شما نشان داده می شود.   پرداخت و دریافت فایل

محصولات مرتبط